Replication of Knittel (2011) 链接到标题

对 Knittel (2011) 部分内容进行复制,暂无稳健性检验部分,原始为 Stata 代码

library(tidyverse)
library(ggthemes)
library(here)
library(fixest)
library(modelsummary)

# config
mytheme <-theme_classic() + theme(legend.position="bottom")
myscale <- scale_colour_stata("mono")
mystars <- c("***"=0.01, "**"=0.05, "*"=0.10)
-- Attaching packages ---------------------------------------------------------------------------------- tidyverse 1.3.2 --
v ggplot2 3.4.0      v purrr   0.3.5 
v tibble  3.1.8      v dplyr   1.0.10
v tidyr   1.2.1      v stringr 1.5.0 
v readr   2.1.3      v forcats 0.5.2 
-- Conflicts ------------------------------------------------------------------------------------- tidyverse_conflicts() --
x dplyr::filter() masks stats::filter()
x dplyr::lag()    masks stats::lag()
here() starts at D:/zhou/projects/rep_knittel_2011
# load data
steroids <- haven::read_dta(here("original", "data", "Steroids_AER_data_post.dta"))

vehicle_80_06 <- steroids |>
    mutate(type_year = case_when(
        d_truck == 0 & year == 1980 ~ "Cars in 1980",
        d_truck == 0 & year == 2006 ~ "Cars in 2006",
        d_truck == 1 & year == 1980 ~ "Trucks in 1980",
        d_truck == 1 & year == 2006 ~ "Trucks in 2006",
        TRUE ~ "others"
    )) |>
    filter(fuel == "G" & outlier == 0 & type_year != "others")

cars <- steroids |> filter(outlier == 0 & d_truck == 0)
trucks <- steroids |> filter(outlier == 0 & d_truck == 1)



datawizard::data_codebook(steroids)

Density Plots 链接到标题

Fuel Economy

vehicle_80_06 |>
    ggplot() + geom_density(aes(mpg, linetype = d_truck == 1, color = year == 1980)) +
    labs(x = "Fuel Economy", y = "Density") + mytheme

png

Curb Weight

vehicle_80_06 |>
    ggplot() + geom_density(aes(curbwt, linetype = d_truck == 1, color = year == 1980)) +
    labs(x = "Curb Weight", y = "Density") + mytheme

png

Hoursepwer

vehicle_80_06 |>
    ggplot() + geom_density(aes(hp, linetype = year == 1980, color = d_truck == 1)) +
    labs(x = "Horsepower", y = "Density") + mytheme

png

Acceleration

vehicle_80_06 |>
    ggplot() + geom_density(aes(accel, linetype = year == 1980, color = d_truck == 1)) +
    labs(x = "Acceration", y = "Density") + mytheme

png

Isoquants 链接到标题

Cars 链接到标题

Fuel economy v.s. Weight

cars_mpglt50 <- vehicle_80_06 |>
    filter(mpg < 50 & d_truck == 0) |>
    mutate(Year = as.character(year))

ggplot(cars_mpglt50, aes(curbwt, mpg, 
                         shape = Year, color = Year)) + 
    geom_point() +
    geom_smooth(se = FALSE) +
    mytheme
`geom_smooth()` using method = 'loess' and formula = 'y ~ x'

png

Fuel economy v.s. Horsepower

ggplot(cars_mpglt50, aes(hp, mpg, shape = Year, color = Year)) +
    geom_point() +
    geom_smooth(se = FALSE) +
    mytheme
`geom_smooth()` using method = 'loess' and formula = 'y ~ x'

png

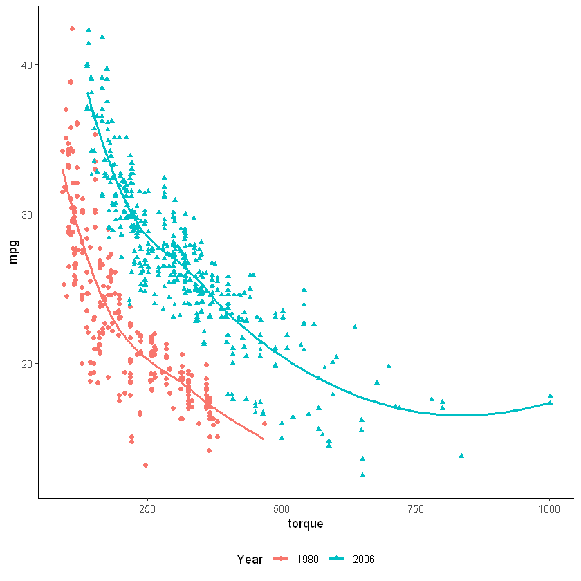
Fuel economy v.s. Torque

ggplot(cars_mpglt50, aes(torque, mpg, shape = Year, color = Year)) +
    geom_point() +
    geom_smooth(se = FALSE) +
    mytheme
`geom_smooth()` using method = 'loess' and formula = 'y ~ x'

png

Fuel economy v.s. Acceleration

ggplot(cars_mpglt50, aes(accel, mpg, shape = Year, color = Year)) +
    geom_point() +
    geom_smooth() +
    mytheme
`geom_smooth()` using method = 'loess' and formula = 'y ~ x'

png

Trucks 链接到标题

Fuel economy v.s. Weight

trucks_mpglt50 <- vehicle_80_06 |>
    filter(d_truck == 1 & mpg < 50) |>
    mutate(Year = as.character(year))

ggplot(trucks_mpglt50, aes(curbwt, mpg, shape = Year, color = Year)) +
    geom_point() +
    geom_smooth() +
    mytheme
`geom_smooth()` using method = 'loess' and formula = 'y ~ x'

png

Fuel economy v.s. Horsepower

ggplot(trucks_mpglt50, aes(hp, mpg, shape = Year, color = Year)) +
    geom_point() +
    geom_smooth(se = FALSE) +
    mytheme
`geom_smooth()` using method = 'loess' and formula = 'y ~ x'

png

Fuel economy v.s. Torque

ggplot(trucks_mpglt50, aes(torque, mpg, shape = Year, color = Year)) +
    geom_point() +
    geom_smooth(se = FALSE) +
    mytheme
`geom_smooth()` using method = 'loess' and formula = 'y ~ x'

png

Fuel economy v.s. Acceleration

ggplot(trucks_mpglt50, aes(accel, mpg, shape = Year, color = Year)) +
    geom_point() +
    geom_smooth(se = FALSE) +
    mytheme
`geom_smooth()` using method = 'loess' and formula = 'y ~ x'

png

Cars v. Trucks 链接到标题

vehicle_80_06 |>
    ggplot(aes(curbwt, mpg, color = as.factor(d_truck), shape = as.factor(year), linetype = as.factor(year))) +
    geom_point() +
    geom_smooth(se = FALSE) +
    mytheme
`geom_smooth()` using method = 'loess' and formula = 'y ~ x'

png

Cars 链接到标题

Cobb-Douglass

# use feols for speed
# use dummy variable on purpose
cars_cd1 <- feols(lmpg ~ lcurbwt + lhp + ltorque + d_manual + time_d_manual + d_diesel + d_turbo + d_super + i(year), cars)
cars_cd2 <- feols(lmpg ~ lcurbwt + lhp + ltorque + d_manual + time_d_manual + d_diesel + d_turbo + d_super + i(year) + i(mfr), cars)
cars_cd3 <- feols(lmpg ~ lcurbwt + lhp + ltorque + d_manual + time_d_manual + d_diesel + i(year) + i(mfr), cars)

Translog

cars_tl1 <- feols(lmpg ~ lcurbwt + lhp + ltorque + lhp2 + lcurbwt2 + ltorque2 + lcurbwt_lhp + lcurbwt_ltorque +  lhp_ltorque + d_manual + time_d_manual + d_diesel + d_turbo + d_super + i(year), cars)
cars_tl2 <- feols(lmpg ~ lcurbwt + lhp + ltorque + lhp2 + lcurbwt2 + ltorque2 + lcurbwt_lhp + lcurbwt_ltorque +  lhp_ltorque + d_manual + time_d_manual + d_diesel + d_turbo + d_super + i(year) + i(mfr), cars)
cars_tl3 <- feols(lmpg ~ lcurbwt + lhp + ltorque + lhp2 + lcurbwt2 + ltorque2 + lcurbwt_lhp + lcurbwt_ltorque +  lhp_ltorque + d_manual + time_d_manual + d_diesel + i(year) + i(mfr), cars)

Table 2 链接到标题

modelsummary(
    list(cars_cd1, cars_cd2, cars_cd3, cars_tl1, cars_tl2, cars_tl3),
    output = "jupyter",
    stars = mystars,
    vcov = ~mfr,
    drop = "year|mfr"
)
Model 1 Model 2 Model 3 Model 4 Model 5 Model 6
(Intercept) 7.857*** 7.686*** 7.828*** 10.061** 11.451*** 12.183***
(0.254) (0.200) (0.193) (4.040) (3.887) (3.744)
lcurbwt -0.398*** -0.383*** -0.419*** 0.462 0.197 -0.043
(0.046) (0.032) (0.029) (1.271) (1.261) (1.254)
lhp -0.324*** -0.268*** -0.262*** -2.549*** -3.092*** -2.937***
(0.047) (0.039) (0.043) (0.803) (0.693) (0.774)
ltorque -0.019 -0.064** -0.045 -0.041 0.212 0.191
(0.038) (0.030) (0.035) (0.757) (0.583) (0.673)
d_manual 0.087*** 0.101*** 0.102*** 0.076*** 0.086*** 0.087***
(0.013) (0.013) (0.013) (0.013) (0.012) (0.012)
time_d_manual -0.004*** -0.004*** -0.004*** -0.003*** -0.003*** -0.003***
(0.0007) (0.0007) (0.0007) (0.0007) (0.0007) (0.0007)
d_diesel 0.196*** 0.212*** 0.229*** 0.257*** 0.248*** 0.272***
(0.018) (0.017) (0.023) (0.019) (0.025) (0.033)
d_turbo 0.025** 0.051*** 0.017** 0.051***
(0.010) (0.010) (0.007) (0.009)
d_super 0.055*** 0.034*** 0.057*** 0.038**
(0.017) (0.011) (0.020) (0.016)
lhp2 -0.180* -0.099* -0.151**
(0.106) (0.054) (0.060)
lcurbwt2 -0.208* -0.165 -0.154
(0.117) (0.115) (0.118)
ltorque2 -0.030 0.025 -0.022
(0.123) (0.065) (0.066)
lcurbwt_lhp 0.473*** 0.489*** 0.477***
(0.139) (0.129) (0.147)
lcurbwt_ltorque 0.016 -0.059 -0.044
(0.108) (0.122) (0.137)
lhp_ltorque 0.047 -0.017 0.070
(0.197) (0.059) (0.057)
Num.Obs. 14423 14423 14423 14423 14423 14423
R2 0.838 0.883 0.879 0.847 0.890 0.886
R2 Adj. 0.838 0.882 0.878 0.846 0.889 0.886
AIC -29072.0 -33644.6 -33202.3 -29824.4 -34536.1 -34062.0
BIC -28806.8 -33099.1 -32672.0 -29513.8 -33945.1 -33486.1
RMSE 0.09 0.07 0.08 0.09 0.07 0.07
Std.Errors by: mfr by: mfr by: mfr by: mfr by: mfr by: mfr
* p < 0.1, ** p < 0.05, *** p < 0.01

Table 3 链接到标题

modelsummary(
    list(cars_cd1, cars_cd2, cars_cd3, cars_tl1, cars_tl2, cars_tl3),
    output = "jupyter",
    stars = mystars,
    vcov = ~mfr,
    keep = "year"
)
Model 1 Model 2 Model 3 Model 4 Model 5 Model 6
year = 1981 0.055*** 0.055*** 0.055*** 0.054*** 0.053*** 0.053***
(0.009) (0.009) (0.010) (0.009) (0.008) (0.009)
year = 1982 0.095*** 0.095*** 0.096*** 0.092*** 0.090*** 0.091***
(0.012) (0.012) (0.013) (0.011) (0.011) (0.011)
year = 1983 0.134*** 0.131*** 0.132*** 0.128*** 0.125*** 0.125***
(0.013) (0.014) (0.015) (0.012) (0.013) (0.013)
year = 1984 0.160*** 0.156*** 0.159*** 0.150*** 0.148*** 0.150***
(0.012) (0.013) (0.013) (0.009) (0.010) (0.010)
year = 1985 0.188*** 0.181*** 0.185*** 0.174*** 0.171*** 0.174***
(0.011) (0.011) (0.012) (0.010) (0.009) (0.009)
year = 1986 0.215*** 0.211*** 0.215*** 0.200*** 0.199*** 0.201***
(0.010) (0.010) (0.011) (0.010) (0.009) (0.009)
year = 1987 0.225*** 0.220*** 0.224*** 0.207*** 0.209*** 0.211***
(0.012) (0.011) (0.012) (0.013) (0.011) (0.011)
year = 1988 0.251*** 0.242*** 0.245*** 0.233*** 0.231*** 0.232***
(0.014) (0.012) (0.012) (0.015) (0.013) (0.013)
year = 1989 0.260*** 0.252*** 0.255*** 0.239*** 0.239*** 0.239***
(0.012) (0.010) (0.012) (0.012) (0.010) (0.010)
year = 1990 0.278*** 0.267*** 0.270*** 0.257*** 0.254*** 0.254***
(0.013) (0.011) (0.012) (0.012) (0.010) (0.011)
year = 1991 0.291*** 0.279*** 0.281*** 0.268*** 0.265*** 0.264***
(0.013) (0.012) (0.014) (0.010) (0.011) (0.012)
year = 1992 0.304*** 0.293*** 0.294*** 0.280*** 0.278*** 0.276***
(0.015) (0.015) (0.016) (0.013) (0.014) (0.014)
year = 1993 0.335*** 0.322*** 0.322*** 0.311*** 0.304*** 0.302***
(0.017) (0.016) (0.018) (0.014) (0.015) (0.015)
year = 1994 0.355*** 0.340*** 0.339*** 0.330*** 0.323*** 0.320***
(0.018) (0.016) (0.017) (0.016) (0.015) (0.016)
year = 1995 0.386*** 0.371*** 0.370*** 0.358*** 0.351*** 0.348***
(0.017) (0.016) (0.018) (0.014) (0.015) (0.016)
year = 1996 0.398*** 0.380*** 0.378*** 0.368*** 0.361*** 0.356***
(0.017) (0.014) (0.016) (0.013) (0.013) (0.013)
year = 1997 0.407*** 0.393*** 0.392*** 0.379*** 0.373*** 0.370***
(0.019) (0.017) (0.019) (0.015) (0.014) (0.015)
year = 1998 0.420*** 0.409*** 0.409*** 0.392*** 0.389*** 0.387***
(0.019) (0.019) (0.021) (0.016) (0.017) (0.018)
year = 1999 0.417*** 0.411*** 0.410*** 0.388*** 0.392*** 0.389***
(0.019) (0.019) (0.021) (0.016) (0.017) (0.018)
year = 2000 0.426*** 0.423*** 0.421*** 0.396*** 0.405*** 0.401***
(0.020) (0.020) (0.022) (0.016) (0.018) (0.019)
year = 2001 0.438*** 0.434*** 0.434*** 0.409*** 0.415*** 0.413***
(0.020) (0.020) (0.023) (0.017) (0.018) (0.020)
year = 2002 0.454*** 0.451*** 0.450*** 0.424*** 0.431*** 0.429***
(0.024) (0.023) (0.025) (0.019) (0.021) (0.022)
year = 2003 0.474*** 0.467*** 0.467*** 0.445*** 0.447*** 0.446***
(0.024) (0.025) (0.028) (0.022) (0.023) (0.025)
year = 2004 0.483*** 0.474*** 0.475*** 0.455*** 0.453*** 0.452***
(0.025) (0.024) (0.026) (0.021) (0.022) (0.024)
year = 2005 0.495*** 0.488*** 0.489*** 0.469*** 0.467*** 0.467***
(0.024) (0.024) (0.026) (0.021) (0.023) (0.024)
year = 2006 0.522*** 0.512*** 0.511*** 0.494*** 0.486*** 0.485***
(0.028) (0.027) (0.029) (0.023) (0.026) (0.027)
Num.Obs. 14423 14423 14423 14423 14423 14423
R2 0.838 0.883 0.879 0.847 0.890 0.886
R2 Adj. 0.838 0.882 0.878 0.846 0.889 0.886
AIC -29072.0 -33644.6 -33202.3 -29824.4 -34536.1 -34062.0
BIC -28806.8 -33099.1 -32672.0 -29513.8 -33945.1 -33486.1
RMSE 0.09 0.07 0.08 0.09 0.07 0.07
Std.Errors by: mfr by: mfr by: mfr by: mfr by: mfr by: mfr
* p < 0.1, ** p < 0.05, *** p < 0.01

Trucks 链接到标题

Cobb-Douglass

tr_cd1 <- feols(lmpg ~ lcurbwt + lhp + ltorque + d_manual + time_d_manual + d_diesel + d_turbo + d_super + i(year), trucks)
tr_cd2 <- feols(lmpg ~ lcurbwt + lhp + ltorque + d_manual + time_d_manual + d_diesel + d_turbo + d_super + i(year) + i(mfr), trucks)
tr_cd3 <- feols(lmpg ~ lcurbwt + lhp + ltorque + d_manual + time_d_manual + d_diesel + i(year) + i(mfr), trucks)

Translog

tr_tl1 <- feols(lmpg ~ lcurbwt + lhp + ltorque + lhp2 + lcurbwt2 + ltorque2 + lcurbwt_lhp + lcurbwt_ltorque +  lhp_ltorque + d_manual + time_d_manual + d_diesel + d_turbo + d_super + i(year), trucks)
tr_tl2 <- feols(lmpg ~ lcurbwt + lhp + ltorque + lhp2 + lcurbwt2 + ltorque2 + lcurbwt_lhp + lcurbwt_ltorque +  lhp_ltorque + d_manual + time_d_manual + d_diesel + d_turbo + d_super + i(year) + i(mfr), trucks)
tr_tl3 <- feols(lmpg ~ lcurbwt + lhp + ltorque + lhp2 + lcurbwt2 + ltorque2 + lcurbwt_lhp + lcurbwt_ltorque +  lhp_ltorque + d_manual + time_d_manual + d_diesel + i(year) + i(mfr), trucks)

Table 4 链接到标题

modelsummary(
    list(tr_cd1, tr_cd2, tr_cd3, tr_tl1, tr_tl2, tr_tl3),
    output = "jupyter",
    stars = mystars,
    vcov = ~mfr,
    drop = "year|mfr"
)
Model 1 Model 2 Model 3 Model 4 Model 5 Model 6
(Intercept) 7.541*** 7.726*** 7.728*** 8.781 4.911 5.049
(0.333) (0.378) (0.393) (5.902) (5.066) (5.177)
lcurbwt -0.363*** -0.355*** -0.356*** 0.280 1.431 1.391
(0.052) (0.040) (0.043) (1.534) (1.172) (1.222)
lhp -0.047 -0.071* -0.071* -0.847 -1.308** -1.283**
(0.043) (0.041) (0.041) (0.704) (0.561) (0.595)
ltorque -0.277*** -0.303*** -0.303*** -0.908 -0.780 -0.791
(0.048) (0.054) (0.052) (1.037) (0.839) (0.838)
d_manual 0.103*** 0.094*** 0.094*** 0.099*** 0.086*** 0.086***
(0.021) (0.016) (0.016) (0.022) (0.017) (0.017)
time_d_manual -0.005*** -0.005*** -0.005*** -0.005*** -0.004*** -0.004***
(0.001) (0.0008) (0.0008) (0.001) (0.0009) (0.0009)
d_diesel 0.267*** 0.244*** 0.245*** 0.278*** 0.252*** 0.255***
(0.019) (0.017) (0.023) (0.019) (0.016) (0.019)
d_turbo 0.002 0.004 0.014 0.025
(0.054) (0.062) (0.042) (0.049)
d_super -0.038 -0.007 -0.047 -0.016
(0.042) (0.045) (0.038) (0.038)
lhp2 0.011 0.055 0.052
(0.156) (0.146) (0.145)
lcurbwt2 -0.197** -0.245*** -0.242***
(0.094) (0.063) (0.067)
ltorque2 -0.405*** -0.388*** -0.384***
(0.111) (0.130) (0.129)
lcurbwt_lhp -0.050 -0.064 -0.063
(0.111) (0.092) (0.093)
lcurbwt_ltorque 0.505*** 0.454*** 0.450***
(0.148) (0.116) (0.115)
lhp_ltorque 0.199 0.218 0.217
(0.283) (0.269) (0.267)
Num.Obs. 12572 12572 12572 12572 12572 12572
R2 0.768 0.796 0.796 0.778 0.805 0.805
R2 Adj. 0.767 0.795 0.795 0.777 0.804 0.804
AIC -20796.9 -22373.3 -22376.9 -21361.9 -22953.4 -22948.6
BIC -20536.5 -21949.3 -21967.8 -21056.9 -22484.8 -22494.8
RMSE 0.11 0.10 0.10 0.10 0.10 0.10
Std.Errors by: mfr by: mfr by: mfr by: mfr by: mfr by: mfr
* p < 0.1, ** p < 0.05, *** p < 0.01

Table 5 链接到标题

modelsummary(
    list(tr_cd1, tr_cd2, tr_cd3, tr_tl1, tr_tl2, tr_tl3),
    output = "jupyter",
    stars = mystars,
    vcov = ~mfr,
    keep = "year"
)
Model 1 Model 2 Model 3 Model 4 Model 5 Model 6
year = 1981 0.069*** 0.067*** 0.067*** 0.066*** 0.063*** 0.063***
(0.012) (0.011) (0.011) (0.012) (0.011) (0.011)
year = 1982 0.102*** 0.098*** 0.098*** 0.098*** 0.094*** 0.094***
(0.016) (0.016) (0.016) (0.015) (0.015) (0.015)
year = 1983 0.132*** 0.120*** 0.121*** 0.130*** 0.117*** 0.117***
(0.016) (0.015) (0.015) (0.016) (0.015) (0.015)
year = 1984 0.136*** 0.120*** 0.120*** 0.136*** 0.118*** 0.118***
(0.020) (0.016) (0.016) (0.020) (0.016) (0.016)
year = 1985 0.146*** 0.130*** 0.130*** 0.140*** 0.123*** 0.124***
(0.011) (0.009) (0.009) (0.013) (0.012) (0.012)
year = 1986 0.169*** 0.155*** 0.155*** 0.161*** 0.148*** 0.148***
(0.012) (0.011) (0.011) (0.014) (0.013) (0.014)
year = 1987 0.174*** 0.163*** 0.163*** 0.168*** 0.157*** 0.157***
(0.013) (0.011) (0.011) (0.015) (0.013) (0.013)
year = 1988 0.205*** 0.195*** 0.195*** 0.201*** 0.190*** 0.190***
(0.013) (0.010) (0.010) (0.014) (0.011) (0.011)
year = 1989 0.207*** 0.201*** 0.201*** 0.201*** 0.195*** 0.195***
(0.010) (0.008) (0.009) (0.011) (0.009) (0.009)
year = 1990 0.221*** 0.215*** 0.215*** 0.216*** 0.211*** 0.211***
(0.021) (0.017) (0.018) (0.023) (0.020) (0.020)
year = 1991 0.222*** 0.219*** 0.219*** 0.217*** 0.214*** 0.214***
(0.011) (0.010) (0.010) (0.014) (0.013) (0.013)
year = 1992 0.258*** 0.252*** 0.252*** 0.250*** 0.244*** 0.244***
(0.018) (0.016) (0.016) (0.019) (0.016) (0.016)
year = 1993 0.258*** 0.254*** 0.254*** 0.250*** 0.245*** 0.246***
(0.028) (0.025) (0.025) (0.029) (0.025) (0.026)
year = 1994 0.283*** 0.277*** 0.277*** 0.275*** 0.269*** 0.270***
(0.027) (0.023) (0.025) (0.027) (0.022) (0.023)
year = 1995 0.283*** 0.280*** 0.280*** 0.275*** 0.272*** 0.272***
(0.032) (0.028) (0.030) (0.033) (0.028) (0.029)
year = 1996 0.288*** 0.285*** 0.285*** 0.301*** 0.294*** 0.296***
(0.034) (0.025) (0.028) (0.025) (0.017) (0.019)
year = 1997 0.324*** 0.327*** 0.327*** 0.336*** 0.336*** 0.336***
(0.025) (0.019) (0.020) (0.015) (0.011) (0.011)
year = 1998 0.328*** 0.324*** 0.324*** 0.323*** 0.316*** 0.317***
(0.032) (0.025) (0.026) (0.030) (0.023) (0.024)
year = 1999 0.342*** 0.347*** 0.347*** 0.341*** 0.342*** 0.342***
(0.036) (0.031) (0.031) (0.039) (0.032) (0.032)
year = 2000 0.367*** 0.374*** 0.374*** 0.353*** 0.356*** 0.356***
(0.033) (0.027) (0.027) (0.034) (0.029) (0.029)
year = 2001 0.338*** 0.343*** 0.343*** 0.326*** 0.325*** 0.325***
(0.032) (0.027) (0.027) (0.034) (0.028) (0.028)
year = 2002 0.347*** 0.352*** 0.352*** 0.332*** 0.332*** 0.332***
(0.034) (0.028) (0.028) (0.036) (0.029) (0.030)
year = 2003 0.369*** 0.369*** 0.369*** 0.353*** 0.347*** 0.347***
(0.044) (0.038) (0.038) (0.045) (0.038) (0.038)
year = 2004 0.410*** 0.413*** 0.413*** 0.390*** 0.385*** 0.385***
(0.044) (0.038) (0.038) (0.045) (0.039) (0.040)
year = 2005 0.463*** 0.466*** 0.467*** 0.440*** 0.433*** 0.434***
(0.036) (0.029) (0.030) (0.036) (0.029) (0.030)
year = 2006 0.492*** 0.497*** 0.497*** 0.469*** 0.465*** 0.466***
(0.037) (0.032) (0.033) (0.036) (0.030) (0.031)
Num.Obs. 12572 12572 12572 12572 12572 12572
R2 0.768 0.796 0.796 0.778 0.805 0.805
R2 Adj. 0.767 0.795 0.795 0.777 0.804 0.804
AIC -20796.9 -22373.3 -22376.9 -21361.9 -22953.4 -22948.6
BIC -20536.5 -21949.3 -21967.8 -21056.9 -22484.8 -22494.8
RMSE 0.11 0.10 0.10 0.10 0.10 0.10
Std.Errors by: mfr by: mfr by: mfr by: mfr by: mfr by: mfr
* p < 0.1, ** p < 0.05, *** p < 0.01

Figure 7

coeftable(cars_tl3, keep = "year") |>
    as_tibble(rownames = "year") |>
    mutate(diff = Estimate - dplyr::lag(Estimate)) |>
    extract(year, "year", "(\\d+)", convert = TRUE) |>
    ggplot(aes(year, diff)) + geom_point() + geom_line() + mytheme + ylim(-0.05, 0.1)
Warning message:
"Removed 1 rows containing missing values (`geom_point()`)."
Warning message:
"Removed 1 row containing missing values (`geom_line()`)."

png